This paper takes on the challenge of designing a phrasal segmentation model to improve the quality of extracted phrases.
任务
- 本文的任务很简单:短语抽取. 相比以往的规则知识和统计方法, 这篇论文提的方法稍微扩展性强了一些.
- 短语抽取方法
- rule-based
- 基于NLP规则知识的短语抽取方法, 是最早的短语抽取方法.
- frequent pattern
- 基于统计的短语抽取方法,暴力解决.
- rule-based
- 感觉本文并没有什么特别之处, 只是把短语抽取定义为了一种寻找分割点的最优化问题, 并量化了各个分割点的score函数. 类似于分词的做法. 为了寻找最优分割点, 文章使用了一种动态规划的方式去寻找, 主要是因为要枚举出来各种可能的分割点.
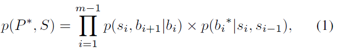
- 模型的分割点score定义为:
- 这个score由两部分组成: inter-cohesion 和 inter-isolation
-
p(si, bi+1 bi) 表示了phrase的衔接性, 是phrase si出现的条件概率. - p(bi*|si,si-1) 表示了inter-isolation 是分割点出现的条件概率

结论
- 论文很简单, 提出了一种量化进行phrase extraction的模型, 后面的实验和动态规划没有细看, 估计做法也是一样的.
- 不是我们想要的
